Methodology Sierra-at-Tahoe RESULTS April 12, 2025

Huge congrats to everyone involved!

What a day getting the snowboard community together to compete, tweak methods, race, have a good time, and all for a good cause - Boarding for Breast Cancer. Thank you!

The event wouldn’t be possible without the following:

Sierra-at-Tahoe resort

Sierra Playgrounds terrain parks

Pabst Blue Ribbon (PBR)

Vans “off the wall”

Arbor Snowboards

Anon Optics

AVALON7

MIZU Life

Sun Bum

Crab Grab

SLUSH the Magazine

Effective Edge

The Hangar South Lake Tahoe

1910

Extra shoutout to: Boarding for Breast Cancer (B4BC), Beyond the Boundaries (BTBounds), Sierra General manager - Dan Healy, and the mountain operations director/manager team, Sierra Playgrounds Terrain Parks, Competition Services, Marketing, Ski Patrol, Lift Operations, Food & Beverage, and more.

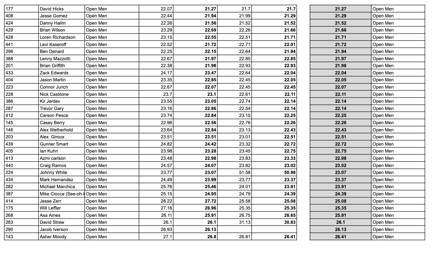
RESULTS:

Methodology Gunstock RESULTS February 8, 2025

Methodology Gunstock February 8, 2025 Results.

Huge thank you to Pabst Blue Ribbon, Gunstock Mountain Parks, Gunstock Mountain Resort and each team (!), Vans, Arbor, Anon Optics, Slush the Magazine, Avalon7, Sun Bum, Crab Grab, Slush the Magazine, Eastern Boarder, Effective Edge, photographer Mike Azevedo, MC Brad Gorges, DJ Stevie B, judge Tucker Brown, Salty Timbers for the art, and all of the competitors and raffle-goers! Thanks for bringing the good vibes all day long and raising money for Chill Foundation.

Pics will be posted soon.

And the award for Best Method goes to the one-and-only, Danny Garrity. Congrats, man. And congrats to everyone for making the day one to remember!

Methodology Sierra-at-Tahoe Results - April 13, 2024

Methodology Sierra-at-Tahoe April 13, 2024 Results.

BIG THANKS to the visionary - Pat Moore, Sierra-at-Tahoe resort, Vans, Arbor, Electric, Avalon7, MIZU, Gozney, Sun Bum, Crab Grab, Slush the Magazine, Effective Edge, the award makers (Native Metal Works and Well Rounded Wood Co.), and all of the competitors and raffle goers! Thanks for bringing the good vibes all day long.

Pics to come!

Best Method: Denver Orr

Congrats everyone!

Sponsor Prizes Methodology Gunstock 2024

What a turnout we had a Gunstock Mountain Resort Feb. 3, 2024!

Thanks to all the competitors and raffle participators for a super fun day on the banked slalom and hip. Awesome course thanks to Gunstock Parks, Gunstock Mountain Resort team, and Effective Edge, DJ, free pizza from Gozney, and legendary hosts and competitors making it extra memorable. 100% of proceeds going to support Chill Foundation. And we can’t wait to do it again!

Some of our favorite comments from Saturday:

“Snowboarding is alive and well in New Hampshire”

“Never been let down by Methodology - an amazing day”

“Holy cr*p, there are so many prizes and sick sponsors!”

“The turnout at Methodology was insane! People just absolutely sending it!”

“Thanks to Gunstock Mountain and Gunstock Parks for the hospitality and thanks to Methodology, Pat Moore and Tyler Davis for such an awesome event.”

“Today was all time.”

Huge shoutout to our sponsors stoking out everyone all day!

Vans (site): From the most globally recognized skate shoe company in the world with super comfortable snowboard boots, all-weather shoes/boots, and rad gear, Vans supplied stacks (!) of high-tech snowboard boots, custom Vans shoes creation cards (!!), comfy Vans slip-ons, cross body bags, socks, beanies, and more.

Arbor (site): Mindfully Crafted For Good Times + Great Lines. Arbor blends innovative construction with aspects of traditional craftsmanship, and a steadfast commitment to sustainable materials and methods. Brand-new snowboards lined the wall of the Gunstock awards room for the winners in all eight categories! Plus a mound of our favorite Arbor bindings (!), beanies, and more swag.

MIZU (site): Generously creating custom safari green Methodology branded (on our favorite) V5 stainless steel insulated water bottles. The quality, size and drinking lid is top-notch and keeping your favorite drinks whatever temp you want them! MIZU continues to provide premium water bottles with lifetime warranties hoping to help stop single-use plastic bottles.

Electric (site): As one of the most forward-thinking names in eyewear, with tradition, quality, and style - Electric provided goggles straight from the Kleveland line into the hands of Methodology competitors and eager raffle goers + a lucky pre-event registration winner.

AVALON7 (site): AVALON7 making adventure inspired apparel and accessories to help us stay stoked outdoors specially designed Methodology-branded camo neck gaiters, and awarded stickers and swag!

Crab Grab (site): The biggest pair of mittens we’ve ever seen for our Best Method winner + tons (!) of the sickest and high-quality mittens and gloves to keep everyone styled and warm in any snowboarding conditions. Plus tons of the coolest and trustworthy snowboard traction pieces you can add to your board.

Gozney (site): We got to witness Gozney’s simple set-up and easy cooking with their fire ovens. Making pizza on the snow and keeping everyone hyped during the comp. We got to raffle off one of their epic pizza ovens as a raffle prize to the packed crowd!

Slush the Magazine (site): The magazine that provides authentic stewardship of snowboarding culture while evangelizing the "riding life", ensured year-long snowboarding stoke with hundreds of dollars in gift cards to be used for subscriptions and/or awesome goods in the Slush the Magazine shop!

Pabst (site): Pabst is proud to be one of the few companies that is wholly defined by their audience. Their mission has always been to make a good beer at a fair price. For those 21 and older, winners got a hold of a custom Pabst solo stove, boss cooler chair, coolers, can holder belts, cool fanny packs, a $500 check to Chill Foundation and koozies by the dozens.

Eastern Boarder (site): From one of the premier shops in the country, owned by the same founders of the last 30+ years, and voted “Coolest Shop in the Country” by Snowboarder Magazine, Eastern Boarder supplies the best products and customer service to the Skate, Snow and BMX community. They did the same providing iconic jackets, sweatshirts, t-shirts, our favorite huge stickers, and generous gift cards upping the ante for cool year-round snowboard gear for comp and raffle winners!

Sun Bum (site): Sun Bum, wave-patterned boxes, stuffed with products took raffle goers straight to the beach. Quality sunscreen, hair care, and lip care products plus ‘Sonny’ the Vinyl Figures brightened up our prizes and raffle table! Thanks to Sun Bum with specifically formulated to help protect those of us who live and love in the sun.

Live Free Goods (site): Fresh off the press, Live Free Goods provided high-quality and oh so soft t-shirts with the sweet art of Methodology Gunstock 2023-2024 event, helping us to relive this day over and over. Plus killer stickers!

Thank you and see you at the next one!

Gunstock February 3, 2024 Results

Methodology Gunstock February 3, 2024 Results. Big thanks to Gunstock Mountain Resort, Vans, Arbor, Electric, Avalon7, MIZU, Gozney, Pabst, Sun Bum, Crab Grab, Slush the Magazine, Eastern Boarder, Live Free Goods, and all of the competitors!

Best Method: Tim McLaughlin

Best Method Runner-up: Zach Normandin

Registration Prize Winners - Pre-Race Gunstock 2024

For signing-up by Monday, Jan. 29, our prize winners were randomly selected by a free online widget and posted below! We’re stoked to race with everyone on Saturday, Feb. 3 at Gunstock Mountain Resort. Thanks for registering and invite your friends as there are still some spots open. As stated, all prizes (except Slush codes) must be picked-up at the event at Gunstock.

If you didn’t win today, tons of goods from our sponsors will be given away on Saturday, Feb. 3 as each competitor gets a raffle ticket and more can be purchased - $5 for one and $20 for five tickets. 100% of proceeds go to support Chill Foundation. AND prizes and awards will be given to 1st, 2nd, and 3rd in each of the eight group categories plus one overall Best Method winner. You don’t want to miss out!

Sponsor goods and amazing prizes are provided by the following: Vans, Arbor, Electric, MIZU, Gozney, Avalon7, Sun Bum, Slush the Magazine, Crab Grab, Eastern Boarder, Pabst, and Live Free Goods!

The winner of the pair of Electric goggles is:

Jonathan Ramalho

All racers listed below will receive an Avalon7 neck gaiter when they check-in for their bib numbers:

Dylan Garcienzzo
Jamie Ruginski
Nicholas D Marshall
Ethan Eisenhaur
Elizabeth Niotis
Elwood Rodrigues
Michael Rodrigues
Mike Bardis
Matthew Conte
Kayla Yates
Will Baldwin
Tyler Clattenburg
Paige Moore
Tim Ireland
Stephen Gullion
Pete Thorndike
Pierce Thorndike
Nathan Soucy
Mike Lianza
Jonathan Ramalho
Bryan Johnson
Ryan Auger
Adam Heath
Nick Imhoof
Andrew Saunders
Jason Goldsmith
Rob Grant
Zane Clark
Alex Heath
Scott Hobart
Kirk Smith
Dean Smith
Lucas Layman
Evan Ricker
Celia Johnson
Jason Contarino
Anthony Mandra
Gregory Guyette
Kade Colen
Steven Ryan
Sunday Comeau
Athena Comeau
Brandon Halberstadt
Travis Maser
Zac Anderson
Nick Distefano
Charles Wormstead
Jeffrey Donahue
Padraic Phelan
Danielle Allwein
John Allwein
Laura D Bridgmon
Matthew Griffin
Keith Groleau
Jeff Harvey
Nicole Bailey
Edward Bailey
Brycen Bailey
Tucker Johnson
Kris Boris
Jasper Bingham
Owen Costa
Trevor Kupetz
Xander Kupetz
Elena Kupetz
Roxy Kupetz
Nicholas Richard
Randolph Williams
Tom Neuburger
Michael Bettencourt
Brooks Pollock
Braden Pollock
Timothy McLaughlin
Thomas Hall
Jasmin Ehmann
Brian Barb
Tiegen Barb
Eben Barb
Frankie Barb
Jarrod Brooks
Jay Lamphier
Thomas McCormack
Daniel Surette

The 25 winners of the Slush the Magazine $10 gift cards each that can be used online at SlushTheMagazine.com shop are… (these will be emailed directly)

Adam Heath
Pete Thorndike
Brandon Halberstadt
John Allwein
Will Baldwin
Danielle Allwein
Jason Contarino
Nicole Bailey
Sunday Comeau
Ryan Auger
Anthony Mandra
Stephen Gullion
Nathan Soucy
Kris Boris
Matthew Griffin
Elwood Rodrigues
Charles Wormstead
Tyler Clattenburg
Zane Clark
Gregory Guyette
Evan Ricker
Michael Rodrigues
Kayla Yates
Steven Ryan
Tucker Johnson

See you Saturday, Feb. 3 at Gunstock Mountain Resort for race day!

The Vans Method Art Contest

We were blown away at the nearly 80 entries to The Vans Method art contest. The quantity and quality of the submissions are incredible and we would like to thank everyone who participated! Below is all the designs with the artist info, congrats to our top 5!